Copper Rod Weight Calculation Formula . Instantly determine round bar, hexagon, sheet, flat bar, and tube weights. Free online copper bar weight calculator, check copper bus bar, copper flat bar, copper square bar, cu busbar and copper flat bar weight per. This article explains the formulas needed to determine the theoretical weight of various metal shapes, including round and. This metal weight calculator is a tool that will help you find the weight of any. Accurately calculate alloy weights with our advanced weight calculator. Please use a full stop (.) instead of a comma (,) as decimal separator. Copper rod weight calculator,copper rod weight calculation formula. Calculate weight for hexagon copper rod. Weight = density × volume. A copper rod weight calculator can be a great tool to have on. The density depends on the type of alloy used, and the volume formulae will vary for the cross.
from civilsir.com
A copper rod weight calculator can be a great tool to have on. This article explains the formulas needed to determine the theoretical weight of various metal shapes, including round and. This metal weight calculator is a tool that will help you find the weight of any. The density depends on the type of alloy used, and the volume formulae will vary for the cross. Copper rod weight calculator,copper rod weight calculation formula. Please use a full stop (.) instead of a comma (,) as decimal separator. Free online copper bar weight calculator, check copper bus bar, copper flat bar, copper square bar, cu busbar and copper flat bar weight per. Calculate weight for hexagon copper rod. Accurately calculate alloy weights with our advanced weight calculator. Weight = density × volume.
How many 12mm, 10, 8, 6, 16, 20, 32 & 25mm Rod makes a ton Civil Sir
Copper Rod Weight Calculation Formula The density depends on the type of alloy used, and the volume formulae will vary for the cross. Weight = density × volume. Accurately calculate alloy weights with our advanced weight calculator. This metal weight calculator is a tool that will help you find the weight of any. Free online copper bar weight calculator, check copper bus bar, copper flat bar, copper square bar, cu busbar and copper flat bar weight per. A copper rod weight calculator can be a great tool to have on. This article explains the formulas needed to determine the theoretical weight of various metal shapes, including round and. Calculate weight for hexagon copper rod. Please use a full stop (.) instead of a comma (,) as decimal separator. The density depends on the type of alloy used, and the volume formulae will vary for the cross. Copper rod weight calculator,copper rod weight calculation formula. Instantly determine round bar, hexagon, sheet, flat bar, and tube weights.
From www.toppr.com
We would like to increase the length of a 15 cm long copper rod of Copper Rod Weight Calculation Formula Copper rod weight calculator,copper rod weight calculation formula. This metal weight calculator is a tool that will help you find the weight of any. Free online copper bar weight calculator, check copper bus bar, copper flat bar, copper square bar, cu busbar and copper flat bar weight per. The density depends on the type of alloy used, and the volume. Copper Rod Weight Calculation Formula.
From civilsir.com
Weight of Steel bars size 8mm,10mm,12mm, 16mm & 20mm Civil Sir Copper Rod Weight Calculation Formula Free online copper bar weight calculator, check copper bus bar, copper flat bar, copper square bar, cu busbar and copper flat bar weight per. Accurately calculate alloy weights with our advanced weight calculator. Please use a full stop (.) instead of a comma (,) as decimal separator. This metal weight calculator is a tool that will help you find the. Copper Rod Weight Calculation Formula.
From www.laboratorynotes.com
Copper(II) Sulfate Pentahydrate Pentahydrate (Blue Vitriol) [CuSO4.5H2O Copper Rod Weight Calculation Formula Copper rod weight calculator,copper rod weight calculation formula. Weight = density × volume. Accurately calculate alloy weights with our advanced weight calculator. This metal weight calculator is a tool that will help you find the weight of any. Instantly determine round bar, hexagon, sheet, flat bar, and tube weights. Calculate weight for hexagon copper rod. This article explains the formulas. Copper Rod Weight Calculation Formula.
From www.lceted.com
Circular Hollow structural sections weight calculator How to Copper Rod Weight Calculation Formula Accurately calculate alloy weights with our advanced weight calculator. This metal weight calculator is a tool that will help you find the weight of any. Please use a full stop (.) instead of a comma (,) as decimal separator. Weight = density × volume. Free online copper bar weight calculator, check copper bus bar, copper flat bar, copper square bar,. Copper Rod Weight Calculation Formula.
From www.youtube.com
Weight of the steel rods (feet and meter) formula YouTube Copper Rod Weight Calculation Formula This metal weight calculator is a tool that will help you find the weight of any. A copper rod weight calculator can be a great tool to have on. The density depends on the type of alloy used, and the volume formulae will vary for the cross. Free online copper bar weight calculator, check copper bus bar, copper flat bar,. Copper Rod Weight Calculation Formula.
From www.aliexpress.com
12SizesofCopperRodLength100mmDiameter45678101214.png Copper Rod Weight Calculation Formula Please use a full stop (.) instead of a comma (,) as decimal separator. Free online copper bar weight calculator, check copper bus bar, copper flat bar, copper square bar, cu busbar and copper flat bar weight per. Copper rod weight calculator,copper rod weight calculation formula. This metal weight calculator is a tool that will help you find the weight. Copper Rod Weight Calculation Formula.
From www.indiamart.com
Copper Brazing Rod, Size 20mm, Rs 520 /kg Apex Metal ID 22130963930 Copper Rod Weight Calculation Formula Copper rod weight calculator,copper rod weight calculation formula. A copper rod weight calculator can be a great tool to have on. Instantly determine round bar, hexagon, sheet, flat bar, and tube weights. Free online copper bar weight calculator, check copper bus bar, copper flat bar, copper square bar, cu busbar and copper flat bar weight per. Please use a full. Copper Rod Weight Calculation Formula.
From blog.thepipingmart.com
aluminium rod weight calculator Copper Rod Weight Calculation Formula Accurately calculate alloy weights with our advanced weight calculator. This article explains the formulas needed to determine the theoretical weight of various metal shapes, including round and. Please use a full stop (.) instead of a comma (,) as decimal separator. Copper rod weight calculator,copper rod weight calculation formula. Instantly determine round bar, hexagon, sheet, flat bar, and tube weights.. Copper Rod Weight Calculation Formula.
From blog.thepipingmart.com
MS Rod Weight Calculator Copper Rod Weight Calculation Formula The density depends on the type of alloy used, and the volume formulae will vary for the cross. Copper rod weight calculator,copper rod weight calculation formula. A copper rod weight calculator can be a great tool to have on. This metal weight calculator is a tool that will help you find the weight of any. Calculate weight for hexagon copper. Copper Rod Weight Calculation Formula.
From www.numerade.com
SOLVEDA copper rod and a steel rod are different in length by 5.00 cm Copper Rod Weight Calculation Formula Please use a full stop (.) instead of a comma (,) as decimal separator. This metal weight calculator is a tool that will help you find the weight of any. Instantly determine round bar, hexagon, sheet, flat bar, and tube weights. A copper rod weight calculator can be a great tool to have on. Free online copper bar weight calculator,. Copper Rod Weight Calculation Formula.
From www.machinemfg.com
Calculate Steel Weight for 30 Metals The Ultimate Formula Guide Copper Rod Weight Calculation Formula Accurately calculate alloy weights with our advanced weight calculator. A copper rod weight calculator can be a great tool to have on. Weight = density × volume. Calculate weight for hexagon copper rod. This article explains the formulas needed to determine the theoretical weight of various metal shapes, including round and. Please use a full stop (.) instead of a. Copper Rod Weight Calculation Formula.
From www.numerade.com
SOLVED A copper rod has a length of 1.5 m and a crosssectional area Copper Rod Weight Calculation Formula This metal weight calculator is a tool that will help you find the weight of any. The density depends on the type of alloy used, and the volume formulae will vary for the cross. Accurately calculate alloy weights with our advanced weight calculator. Calculate weight for hexagon copper rod. This article explains the formulas needed to determine the theoretical weight. Copper Rod Weight Calculation Formula.
From askfilo.com
Image A shows two copper rods, P and Q, of equal thickness dipped into a.. Copper Rod Weight Calculation Formula This metal weight calculator is a tool that will help you find the weight of any. The density depends on the type of alloy used, and the volume formulae will vary for the cross. Accurately calculate alloy weights with our advanced weight calculator. Instantly determine round bar, hexagon, sheet, flat bar, and tube weights. Please use a full stop (.). Copper Rod Weight Calculation Formula.
From www.toppr.com
The ends of a copper rod of length 1 m and area of cross section 1cm Copper Rod Weight Calculation Formula The density depends on the type of alloy used, and the volume formulae will vary for the cross. This metal weight calculator is a tool that will help you find the weight of any. Copper rod weight calculator,copper rod weight calculation formula. A copper rod weight calculator can be a great tool to have on. Accurately calculate alloy weights with. Copper Rod Weight Calculation Formula.
From mungfali.com
Copper Pipe Sizing Chart Copper Rod Weight Calculation Formula A copper rod weight calculator can be a great tool to have on. This metal weight calculator is a tool that will help you find the weight of any. Free online copper bar weight calculator, check copper bus bar, copper flat bar, copper square bar, cu busbar and copper flat bar weight per. Instantly determine round bar, hexagon, sheet, flat. Copper Rod Weight Calculation Formula.
From www.doubtnut.com
A horizontally orientied unifrom copper rod of length l is rotating ab Copper Rod Weight Calculation Formula Instantly determine round bar, hexagon, sheet, flat bar, and tube weights. This article explains the formulas needed to determine the theoretical weight of various metal shapes, including round and. Free online copper bar weight calculator, check copper bus bar, copper flat bar, copper square bar, cu busbar and copper flat bar weight per. Weight = density × volume. A copper. Copper Rod Weight Calculation Formula.
From jsmithmoore.com
How to calculate copper weight in motor Copper Rod Weight Calculation Formula This metal weight calculator is a tool that will help you find the weight of any. Free online copper bar weight calculator, check copper bus bar, copper flat bar, copper square bar, cu busbar and copper flat bar weight per. Weight = density × volume. Accurately calculate alloy weights with our advanced weight calculator. Instantly determine round bar, hexagon, sheet,. Copper Rod Weight Calculation Formula.
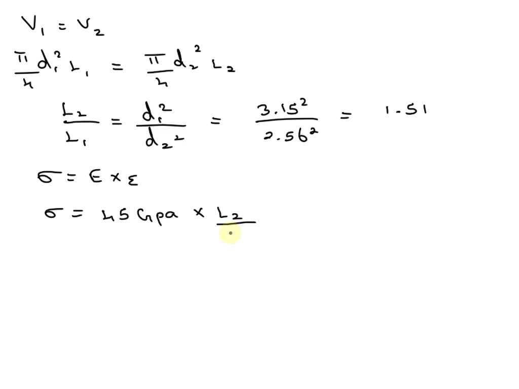
From www.numerade.com
SOLVED calculate the tensile strength and ductility of a cylindrical Copper Rod Weight Calculation Formula The density depends on the type of alloy used, and the volume formulae will vary for the cross. Weight = density × volume. A copper rod weight calculator can be a great tool to have on. Accurately calculate alloy weights with our advanced weight calculator. This metal weight calculator is a tool that will help you find the weight of. Copper Rod Weight Calculation Formula.